ÁLGEBRA UNHEVAL EXAMEN INGRESO UNIVERSIDAD VALDIZAN RESUELTO PDF
CONTENIDO TEMÁTICO DEL EXAMEN UNHEVAL DEL CURSO DE ÁLGEBRA
1. TEORÍA DE EXPONENTES:
Leyes de exponente
Leyes de radicales
Teoremas: bases iguales
potencia de potencia y exponentes iguales.
Exponentes racionales
Teoremas:
índices iguales
raíz de raíz
radicales sucesivos.
2. ECUACIONES EXPONENCIALES:
Ecuaciones exponenciales algebraicas
Ecuaciones con términos de bases constantes.
3. EXPRESIONES ALGEBRAICAS:
Polinomios
Valor numérico de una expresión matemática
Grado de un polinomio
Polinomios especiales:
polinomio ordenado
polinomio completo
polinomio homogéneo
polinomios idénticos
polinomio
Idénticamente nulo.
4. PRODUCTOS NOTABLES:
Identifica y evalúa cada tipo de producto notable:
Binomio al cuadrado
Diferencia de cuadrados.
Identidades de Legendre.
Binomio al cubo.
Suma y diferencia de cubos.
Trinomio al cuadrado.
Trinomio al cubo.
Identidades auxiliares.
5. DIVISIÓN ALGEBRAICA:
División de polinomios:
Método clásico
Horner y Ruffini
Teorema del Resto.
6. FACTORIZACIÓN:
Definición.
Criterios de factorización
Factor común y agrupación.
Criterio de los productos notables.
Aspa simple, doble, doble especial
Divisores binómicos.
7. TEORÍA DE ECUACIONES:
Ecuación lineal con una incógnita
Propiedades básicas.
Ecuación cuadrática con una incógnita
Criterios de resolución: aspa simple, formula general.
Propiedades de las raíces de una ecuación cuadrática.
8. FRACCIONES (MCM y MCD):
Factor común de dos o más polinomios, polinomios primos entre sí.
Múltiplo de un polinomio, operaciones con fracciones.
Descomposición de una fracción en fracciones parciales.
9. MATRICES:
Definición.
Determinantes de primer, segundo y tercer orden
Matrices especiales
Operaciones con matrices.
Matriz cuadrada.
Traza de una matriz.
10. DETERMINANTES:
Determinantes de primer, segundo y tercer orden.
Regla de Sarrus,
Propiedades generales de los determinantes.
11. ECUACIONES VALOR ABSOLUTO:
Definición.
Ecuaciones de primer grado con valor absoluto
Ecuaciones de segundo grado con valor absoluto.
12. INECUACIONES:
Inecuaciones lineales.
Inecuaciones cuadráticas.
Inecuaciones polinomiales.
Inecuaciones irracionales.
13. FUNCIONES REALES:
Definición.
Dominio y rango.
Funciones algebraicas:
Función identidad
Función lineal
Función cuadrática
Función raíz cuadrada
Función valor absoluto.
14. LOGARITMOS:
Definición.
Propiedades básicas.
Cologaritmo y antilogaritmo.
Logaritmo natural.
15. NÚMEROS COMPLEJOS:
Definición de los números complejos.
Igualdad de números complejos.
Operaciones fundamentales.
16. LÍMITES DE UNA FUNCIÓN:
Definición
Limites algebraicos
Limites laterales.
PREGUNTA 1 :
Calcule la solución entera positiva de:
2x² + 3x = 44
A) 3
B) 4
C) 2
D) 8
E) 11
RESOLUCIÓN :
Rpta. : "C"
PREGUNTA 2:
En la sala de ventas, Bruno contó que al doble del número de autos más el triple de motocicletas es 280. Si la diferencia entre el número de llantas de autos y de motos es 240, ¿cuántos móviles hay en la tienda?
A) 120
B) 160
C) 180
D) 200
E) 360
RESOLUCIÓN :
Rpta. : "A"
PREGUNTA 3 :
Determine el valor numérico de
sabiendo que x = 2019
A) 2
B) 3
C) 9
D) 2019
E) 45
RESOLUCIÓN :
Rpta. : "C"
PREGUNTA 5:
Halle el valor de "x":
A) –2
B) –1
C) 1
D) 2
E) 3
RESOLUCIÓN :
Rpta. : "B"
PREGUNTA 6:
Halle el valor de:
A) 14
B) 15
C) 17
D) 18
E) 20
RESOLUCIÓN :
Rpta. : "C"
PREGUNTA 7:
Sabiendo que: x.y > 0 , se cumple, x(19y−10x)=6y². Halle la razón x/y
A) 3/2; 2/5
B) 1/3; 1/5
C) 2/3; 1/2
D) 4/5: 2/3
E) 2/3; 2/5
RESOLUCIÓN :
Rpta. : "A"
PREGUNTA 8:
Jenny compró 8 plátanos y pagó con una moneda de 5 soles, pero no recuerda cuanto le dieron de vuelto. José compró una docena de los mismos plátanos, pero tuvo que volver a casa porque los S/. 6,50 que llevó no le alcanzaron. ¿Entre qué valores está el precio del plátano?
A) 〈0,541; 0,625〉
B) 0,201; 0,302
C) 〈0,303; 0,400〉
D) 〈0,401; 0,500〉
E) 〈0,630; 0,700〉
RESOLUCIÓN :
Rpta. : "A"
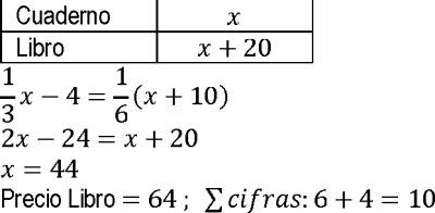
PREGUNTA 9:
El precio de un cuaderno es de S/ 20 menos que el precio de un libro. Si a la tercera parte del precio del cuaderno se le disminuye S/ 4, se obtiene la sexta parte del precio del libro. ¿Halle la suma de cifras del precio del libro?
A) 12
B) 9
C) 8
D) 10
E) 7
RESOLUCIÓN :
Rpta. : "D"
PREGUNTA 10:
En tres días una agencia bancaria recibió S/ 16 800. Halle el ingreso del tercer día sabiendo que cada día el banco recibió 1/4 de lo que recibió el día anterior.
A) S/ 800
B) S/ 900
C) S/ 700
D) S/ 1 000
E) S/ 1 200
RESOLUCIÓN :
Rpta. : "A"
PREGUNTA 11:
En un gallinero había cierto número de gallinas. Se duplicó el número y se vendieron 27, quedando menos de 54. Después se triplicó el número de gallinas que había al principio y se vendieron 78, quedando más de 39. ¿Cuántas gallinas había al principio?
A) 41
B) 42
C) 40
D) 38
E) 39
RESOLUCIÓN :
Rpta. : "C"







