RAZONAMIENTO INDUCTIVO EJERCICIOS RESUELTOS PDF
PREGUNTA 1 :
Lenin le dice a Leo: Si encuentras la suma de las cifras del siguiente producto te daré de propina esa cantidad . Si Lenin encontró correctamente dicha suma, ¿cuál fue su respuesta?
A) 18
B) 90
C) 72
D) 81
RESOLUCIÓN :
Rpta. : "D"
PREGUNTA 2 :
En un torneo de tenis , 39 personas de la categoría singles se inscriben para damas senior y todas ellas participarán desde la primera fase. Las fases son eliminatorias y, en cada una de ellas, si el número de tenistas es impar, se elige por sorteo a una que pasa directamente a la siguiente fas . ¿ Cuántos partidos se jugarán para determinar a la campeona de ';categoría?
A) 29
B) 38
C) 39
D) 20
RESOLUCIÓN :
Rpta. : "B"
PREGUNTA 3 :
El gráfico representa una secuencia de figuras producidas por una computadora, de acuerdo con un programa. ¿Cuántos elementos tendrá la figura 25?
A) 1815
B) 1835
C) 1725
D) 1825
RESOLUCIÓN :
Rpta. : "D"
PREGUNTA 6 :
En la siguiente secuencia de figuras, todas ellas están formadas por discos congruentes. Habrá 946 discos en la figura
A) 42
B) 44
C) 41
D) 43
RESOLUCIÓN :
Rpta. : "D"
PREGUNTA 7 :
En el siguiente arreglo, ¿de cuántas maneras diferentes se puede leer la palabra LINAZA a igual distancia mínima de una letra a otra en cada lectura?
A) 132
B) 186
C) 156
D) 140
RESOLUCIÓN :
Rpta. : "C"
PREGUNTA 8 :
RESOLUCIÓN :
Rpta. : "D"
PREGUNTA 9 :
En el siguiente arreglo, ¿de cuántas maneras diferentes se puede leer la palabra LEERE a igual distancia mínima de una letra a otra en cada lectura?
A) 36
B) 24
C) 32
D) 28
RESOLUCIÓN :
Rpta. : "D"
PREGUNTA 10 :
Un cuadrado se parte en 4 cuadraditos. Uno de los cuadraditos se parte en otros 4 cuadrados y así sucesivamente. Después de 69 particiones ¿cuántos cuadrados se contabilizan en total?
A) 276
B) 277
C) 384
D) 385
E) 762
RESOLUCIÓN :
Rpta. : "B"
PREGUNTA 12 :
La figura mostrada está formada por láminas cuadradas de color blanco y láminas cuadradas de color negro. Si la figura mostrada tiene por cada lado 2020 láminas cuadradas, ¿cuántas láminas cuadradas de color negro hay en la figura?
A) 6055
B) 6049
C) 6052
D) 6058
RESOLUCIÓN :
Rpta. : "D"
PREGUNTA 14 :
Dada la secuencia de figuras halle x+y.
A) 825
B) 738
C) 804
D) 807
E) 729
RESOLUCIÓN :
Rpta. : "C"
PREGUNTA 16 :
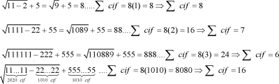
Halle la suma de cifras del resultado al operar:
A) 266
B) 274
C) 272
D) 270
E) 268
RESOLUCIÓN :
Rpta. : "D"
PREGUNTA 17 :
León le propone a su hermano Edu contar la cantidad de triángulos totalmente sombreados que se pueden visualizar en la siguiente figura, siendo el valor de n=87; para lo cual Edu logro determinar de manera correcta dicha cantidad. ¿Cuál fue la respuesta de Edu ?
A) 3613
B) 3785
C) 3961
D) 3720
RESOLUCIÓN :
Rpta. : "B"
PREGUNTA 18 :
En la figura se ha trazado 256 circunferencias, ¿cuántos puntos de intersección se han generado?
A) 990
B) 898
C) 1050
D) 1200
E) 1100
RESOLUCIÓN :
Rpta. : "A"
OBJETIVOS
• Identificar en que situaciones se puede aplicar un razonamiento inductivo.
• Desarrollar la habilidad para relacionar valores números, encontrando su criterio de formación.
• Aplicar de manera eficiente el razonamiento inductivo en casos de formación de palabras y situaciones cotidianas.
El razonamiento inductivo se aplica generalmente cuando la solución de un problema resulta tedioso y extenso, por ser operativos y de mucha complejidad pero presenta cierta formación .
En el proceso del razonamiento inductivo es muy importante la selección adecuada de los casos particulares.
Para ello tener en cuenta que:
► Cada caso particular debe guardar similitud con la expresión o gráfico que se brinda en el problema.
► Se sugiere que sea los que guardan menos complejidad
► Se sugiere analizar por lo menos 3 casos, de esta forma nuestra inducción tendrá mayor posibilidad que sea correcta.
Luego de seleccionar los casos particulares, una dificultad es relacionar los valores numéricos que resulta de cada caso particular.






















































.png)
.png)
.png)
.png)
.png)
.png)

.png)
.png)
.png)
.png)
.png)
.png)
.png)
.png)
.png)
.png)



