TRINOMIO AL CUBO EJEMPLOS Y EJERCICIOS RESUELTOS DE PRODUCTOS NOTABLES
CUBO DE UN TRINOMIO 
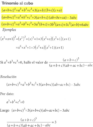
Forma expuesta por Cauchy 
(a+b+c)³ = a³ + b³ + c³ + 3a²b + 3a²c + 3b²a + 3b²c + 3c²a + 3c²b + 6abc 
( a + b + c)³ = a³ + b³ + c³ + 3(a + b)(b +c)(a + c)
Efectúa los siguientes trinomios al cubo, aplicando productos notables: 
☛ (x + y + 1)³= 
☛ (m² + 2n² + 2)³ = 
☛ (p³ – 4p+ 3)³ = 
☛ (3x – y – 3)³= 
☛ (4a³ – 2b –1)³ = 
☛ (x + 6y – 5)³ =










