PROBLEMAS SOBRE EDADES RESUELTOS TIPO EXAMEN ADMISIÓN UNIVERSIDAD PDF
*
PREGUNTA 1 :
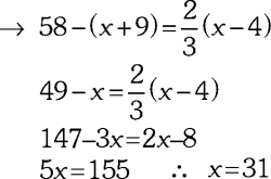
Al ser consultada por su edad, Margarita responde: “Si tuviera 9 años más de la edad que tengo, lo que me faltaría para cumplir 58 años sería igual a los dos tercios de la edad que tenía hace 4 años”. ¿Qué edad tendrá Margarita dentro de 5 años?
A) 35 años
B) 31 años
C) 32 años
D) 36 años
E) 34 años
RESOLUCIÓN :
Rpta. : "D"
Muchas veces deseamos conocer la edad de una dama, sin ser muy directos, para ello nos ingeniamos de una pregunta sutil.
¿En qué año naciste? con esta pregunta podremos hallar la edad de la dama, ya que esta será la diferencia entre el año actual y el año del nacimiento de la dama, en el caso que la dama aun no hubiera cumplido año, se le resta 1 año.
Año actual – año nació = Edad
PREGUNTA 1 :
Hace 12 años las edades de 2 hermanos estaban en relación de 4 a 3 y actualmente sus edades suman 59 años. ¿Dentro de cuántos años sus edades estarán en relación de 8 a 7?
a) 10 años
b) 9
c) 8
d) 7
e) 6
Rpta. : "C"
PREGUNTA 2 :
La edad de Liliana es a la edad de Emilio como 4 es a 7. Dentro de 10 años Liliana tendrá el doble de la edad que tenía Emilio hace 5 años. ¿Cuántos años tiene Emilio?.
a) 12 años
b) 14
c) 9
d) 10
e) 21
Rpta. : "B"
PREGUNTA 3 :
Al preguntarle a Yessica por su edad respondió : "Si al año en que cumplí los 16 años le agregan el año en que cumplí los 20 años y si a este resultado le restan la suma del año en que nací con el año actual, obtendrán 14". ¿Cuál es la edad de Yessica?
a) 12
b) 18
c) 15
d) 27
e) 22
Rpta. : "E"
PREGUNTA 4 :
A una persona en el año 1975 se le preguntó su edad y contestó : "Tengo en años la mitad del número que forman las dos últimas cifras del año de mi nacimiento". Halla la suma de las cifras de su edad.
a) 4
b) 5
c) 6
d) 7
e) 8
Rpta. : "D"



























.gif)
.gif)
.gif)
.gif)
.gif)
.gif)
.gif)
.gif)
.gif)
.gif)
.gif)
.gif)
.gif)
.gif)
.gif)
.gif)
.gif)

