ARITMÉTICA BANCO DE PREGUNTAS RESUELTAS 2026 DE EXAMEN ADMISIÓN PDF
PREGUNTA 1 :
Si el valor de una pelota oficial de fútbol es igual a la suma de los 7 primeros números primos, defina su precio.
A) S/ 53
B) S/ 50
C) S/ 38
D) S/ 48
E) S/ 58
RESOLUCIÓN :
Precio= 2+3+5+7+11+13+17=58
Rpta. : "E"
PREGUNTA 2 :
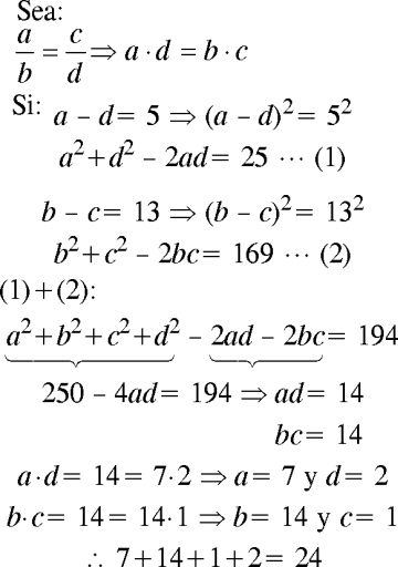
PREGUNTA 3 :
Dado el conjunto A = {x/x∈ℕ, 10<5x≤ 30}
Seleccione como respuesta la cantidad de subconjuntos que posee el conjunto A.
A) 10
B) 32
C) 64
D) 16
E) 20
RESOLUCIÓN :
Se tiene 10<5x ≤ 30
⇒ 2<x≤ 6
⇒ x: 3, 4, 5, 6
⇒ A={3; 4; 5; 6}
⇒ n(A)=4
∴ 24=16 subconjuntos
Rpta. : "C"
PREGUNTA 4 :
Sea A y B dos conjuntos tales que:
n(A)=20
n(B)=30
n(A∪B)=40
Indique el valor de n(A∩B)
A) 10
B) 20
C) 30
D) 40
E) 50
RESOLUCIÓN :
Recuerda:
n(A∪B)=n(A)+n(B)–n(A ∩ B)
Reemplazando
n(A∩B)=20+30–40
∴ n(A∩B)=10
Rpta. : "A"
PREGUNTA 5 :
A) S/489
B) S/389
C) S/431
D) S/589
E) S/689
RESOLUCIÓN :
Rpta. : "B"
PREGUNTA 6 :
En una división inexacta, el divisor es 36, el cociente es 11 y el residuo la mitad del divisor. Indique el valor del dividendo.
A) 412
B) 414
C) 416
D) 400
E) 112
RESOLUCIÓN :
Rpta. : "B"
PREGUNTA 8 :
Juan es una persona muy trabajadora y debido a su gran desempeño en la empresa donde trabaja le dieron el día jueves libre, por lo cual Juan decide salir a pasear con sus perros ese día. ¿Dé cuántas maneras diferentes podrá salir a pasear si en total tiene 8 canes?
A) 255
B) 300
C) 350
D) 355
E) 400
RESOLUCIÓN :
Rpta. : "A"
PREGUNTA 9 :
A) 9
B) 10
C) 11
D) 12
E) 13
RESOLUCIÓN :
Rpta. : "C"
PREGUNTA 12 :
A) 6
B) 5
C) 8
D) 9
E) 7
RESOLUCIÓN :
Rpta. : "E"
PREGUNTA 13 :
PREGUNTA 14 :
Calcule el mayor numeral de cuatro cifras que sea divisible por 3 y 25. Dar como respuesta el residuo que deja al dividir entre 7.
A) 2
B) 4
C) 0
D) 3
E) 1
RESOLUCIÓN :
Rpta. : "C"
PREGUNTA 17 :
En 18 días, 28 obreros terminan una obra. Después de ocho días de iniciada la obra, se incorporó cierta cantidad de obreros doblemente hábiles que los anteriores, terminando la obra tres días antes de lo planificado. Determine la cantidad de obreros que se incorporaron.
A) 24
B) 12
C) 6
D) 3
E) 9
RESOLUCIÓN :
Rpta. : "C"
PREGUNTA 19 :
Por un dinero que recibí en préstamo a (1/6)% mensual (interés simple) y que devolví a los 100 días, tuve que pagar de interés S/.200. ¿Cuál fue la suma prestada en soles?
A) 36 500
B) 30 000
C) 35 000
D) 36 000
E) 37 000
RESOLUCIÓN :
Rpta. : "D"
PREGUNTA 21 :
La proposición más simple equivalente a:
[(~ q → ~ p) → (~ p → ~ q)] ∧ ~ ( p ∧ q), es:
A) ~ p
B) ~ q
C) p ∧ q
D) p ∨ ~ q
E) p ∧ ~ q
RESOLUCIÓN :
Rpta. : "B"
PREGUNTA 22 :
Andrea tiene una cartulina de forma rectangular que mide 24 cm de ancho por 36 cm de largo y quiere cortar trozos cuadrados congruentes de manera que no sobre material. ¿Cuántos trozos obtendrá, si el lado de cada uno mide una cantidad entera; comprendidos entre 5 cm y 10 cm?
A) 10
B) 6
C) 18
D) 24
E) 12
RESOLUCIÓN :
Rpta. : "D"
PREGUNTA 23 :
Un terreno de forma rectangular tiene 1500 m de largo y 1200 m de ancho. Se desea dividirlo en el máximo número de lotes, tal que todos posean la misma área y no sobre terreno alguno. ¿Cuál es el área de cada uno de los lotes?
A) 4 m²
B) 5 m²
C) 20 m²
D) 100 m²
E) 300 m²
RESOLUCIÓN :
PREGUNTA 24 :
Se tiene el conjunto A = {1; 2; 3; ...; 20}
¿Cuántos subconjuntos tiene A de tal manera que la suma de sus elementos sea 205?
A) 18
B) 6
C) 5
D) 4
E) 3
RESOLUCIÓN :
Rpta. : "E"
PREGUNTA 25 :
Si una cadena de 18 quilates cuyo peso de metal ordinario es 36 gramos se funde con un lingote de oro de 105 gramos con ley 0,65, ¿de cuántos quilates es la aleación obtenida?
A) 11,3
B) 9,5
C) 25,3
D) 17,6
E) 16,9
RESOLUCIÓN :
PREGUNTA 26 :
Un capital está impuesto al 36% anual y un segundo capital al 54%. La suma de dichos capitales es 46 000 soles. Si el interés anual que produce el primero es al interés cuatrianual que produce el segundo como 7 es a 4, hallar la diferencia de dichos capitales.
A) 46 000 soles
B) 2000 soles
C) 40 000 soles
D) 42 000 soles
E) 38 000 soles
RESOLUCIÓN :
Rpta. : "E"
PREGUNTA 27 :
Se dividen 7800 soles en dos partes de tal manera que depositadas durante dos años uno al 20% anual y el otro al 40% de capitalización anual producen el mismo monto. Si ambas partes se hubieran depositado al 30% de interés simple durante el mismo tiempo, entonces la diferencia de sus montos, en soles, es:
A) 1450
B) 1600
C) 1680
D) 1750
E) 2080
RESOLUCIÓN :
Rpta. : "E"
La aritmética es una rama de la matemática tan elemental como antigua, que nos permite resolver problemas de suma utilidad dentro de nuestro convivir diario.
































