TRIGONOMETRÍA AGRARIA PRUEBA RESUELTA UNALM INGRESO UNIVERSIDAD LA MOLINA PDF
PREGUNTA 1 :
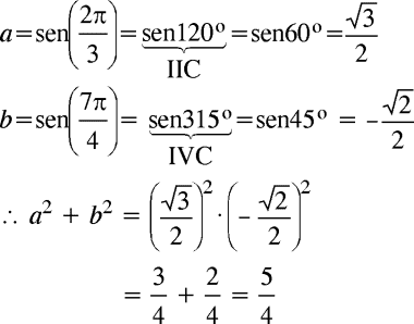
PREGUNTA 2 :
Siendo α y β ángulos agudos los cuales cumplen que
tanα–cot4β=5sen37º–3
cosα⋅sec5β=√3.tan30º
Calcular sen(α+β)
A) √3/2
B) 1/2
C) √3
D) 3/5
E) √2/2
RESOLUCIÓN :
Rpta. : "A"
PREGUNTA 3 :
El ángulo de elevación de la cúspide de una torre es de 60° a 72m de ella, estando el ojo del observador a √3 metros sobre el suelo. La altura de la torre, en metros, es:
A) 74√3
B) 73√3
C) 72√3
D) 60√3
E) 59√3
RESOLUCIÓN :
Rpta. : "B"
PREGUNTA 4 :
Efectúa:
A) 2,0
B) 2,5
C) 1,0
D) 3,0
E) 2,4
RESOLUCIÓN :
Rpta. : "A"
PREGUNTA 5 :
Del gráfico, calcule el perímetro del triángulo ABC, en términos de p y β.
A) 2p(tanβ+secβ+1)
B) 2p(senβ+cosβ+1)
C) 2p(tanβ+cotβ+1)
D) 2p(secβ+cosβ+1)
E) 2p(cscβ+cotβ+1)
RESOLUCIÓN :
Rpta. : "A"
PREGUNTA 7 :
A partir del gráfico, si AC=m, halle CD.
A) mcotα⋅secβ
B) mtanα⋅senβ
C) mcotα⋅cosβ
D) mtanα⋅cosβ
E) mtanα⋅secβ
RESOLUCIÓN :
Rpta. : "D"
PREGUNTA 8 :
Una persona de 1,65m de estatura divisa la parte mas alta de un edificio con un ángulo de elevación de 53º. Si la persona se encuentra a 15m del edificio ¿cuál es la altura del edificio?
A) 20,65 m
B) 21 m
C) 21,65 m
D) 27,65 m
E) 29,60 m
RESOLUCIÓN :
Rpta. : "C"
PREGUNTA 9 :
Del gráfico, calcule E=5tanα
A) 11/2
B) 9/2
C) 7/2
D) 5/2
E) 3/9
RESOLUCIÓN :
Rpta. : "C"
PREGUNTA 11 :
En la siguiente figura, calcular el valor de la expresión:
A) 0
B) 1
C) –1
D) 2
E) –2
RESOLUCIÓN :
Rpta. : "B"
PREGUNTA 12 :
Simplifique
A) senx
B) cscx
C) senx
D) cosx
E) 1
RESOLUCIÓN :
Rpta. : "D"
PREGUNTA 13 :
Simplifique
A) senx
B) cosx
C) 2cosx
D) 2senx
E) 2cosx
RESOLUCIÓN :
Rpta. : "C"
PREGUNTA 17 :
En la figura, ABCD es un cuadrado, el ángulo EBA mide 53° y AD=3ND.
Calcula tanα.
A) 23/31
B) 18/31
C) 21/31
D) 19/31
E) 17/31
RESOLUCIÓN :
Rpta. : "E"
PREGUNTA 18 :
Simplifique
A) 2secx
B) sec2x
C) 2sec2x
D) 2cos2x
E) 1
RESOLUCIÓN :
Rpta. : "C"





.png)






















.png)
.png)






