ÁLGEBRA AGRARIA PRUEBA RESUELTA UNALM INGRESO UNIVERSIDAD LA MOLINA PDF
PREGUNTA 1 :
Lewis un profesor de educación física cuenta con un número de pelotas, el cual esta representado por el valor de x en
(2x–14)(2x–14)= 4
¿cuántos pelotas tiene el profesor Lewis?
A) 8
B) 10
C) 11
D) 5
E) 14
RESOLUCIÓN :
Rpta. : "A"
PREGUNTA 3 :
PREGUNTA 4 :
Halle el valor de x en la ecuación
A) –3
B) –2
C) –5
D) –4
E) 2
RESOLUCIÓN :
Rpta. : "A"
PREGUNTA 5 :
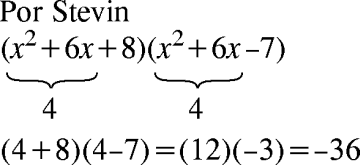
Sabiendo que x2+6x=4
Simplifique
(x+4)(x+7)(x+2)(x–1)
A) 24
B) – 24
C) 20
D) 36
E) – 36
RESOLUCIÓN :
Rpta. : "E"
PREGUNTA 7 :
En la división
el residuo es 6x+4. Halle b.
A) 2
B) 4
C) 6
D) – 4
E) – 6
RESOLUCIÓN :
Rpta. : "E"
PREGUNTA 8 :
Halle A'
si A=〈–∞; 0〉.
A) ℝ0+
B) ℝ+
C) ℝ
D) 〈–∞; 0]
E) ℝ–
RESOLUCIÓN :
Rpta. : "A"
PREGUNTA 9 :
Sabiendo que 3<x≤4
Halle el intervalo de variación de x2+4x+2
A) 〈23;38]
B) 〈12;24〉
C) 〈23;34]
D) [23;34]
E) ℝ
RESOLUCIÓN :
Dando forma
x2+4x+2=(x+2)2–2
→ 3 <x ≤ 4
5<x+2 ≤6
25<(x+2)2≤36
23<(x+2)2–2≤34
→ x2+4x+2∈〈23;34]
Rpta. : "C"
PREGUNTA 10 :
Halle el resto en
A) x2+1
B) x2– 1
C) x2
D) –x2–1
E) 1– x2
RESOLUCIÓN :
x3+1=0 → x3=–1
D(x)=x3x2+x3+2
R=(–1)x2+(–1)+2 =– x2+1
Rpta. : "E"
PREGUNTA 11 :
Factorice
M(a,b)=a4–16b4
A) (a2–4b2)(a2+4b2)
B) (a2–8b2)(a2+8b2)
C) (a+2b)(a–2b)(a2+4b)
D) (a–2b)(a2+4)(a+2b)
E) (a–4b)(a+4b)(a+2b)
RESOLUCIÓN :
Rpta. : "C"
PREGUNTA 12 :
Sabiendo que
A=[2; 6〉
B=〈4; 8]
C=[5;+∞〉
Halle (A∩B)–C
A) 〈4;6〉
B) 〈2;4]
C) 〈4;5〉
D) ∅
E) 〈6; 8〉
RESOLUCIÓN :
Rpta. : "C"
PREGUNTA 15 :
Un obrero y su amigo trabajaron durante dos meses en una fábrica. El primer mes por 14 días del obrero y 24 del amigo, recibieron S/1494; el segundo mes, por 21 días del obrero y 18 del amigo, recibieron S/1593. ¿Cuál es la diferencia de jornales diarios entre ellos?
A) S/5
B) S/7
C) S/6
D) S/9
E) S/8
RESOLUCIÓN :
Rpta. : "D"
PREGUNTA 16 :
Halla el exponente de x en la expresión:
A) 6
B) 7
C) 8
D) 5
E) 4
RESOLUCIÓN :
Rpta. : "A"
PREGUNTA 17 :
Si: a2+b2=1
Determina :
M=(a4+b4)–(a6+b6)
a) a2b2
b) a3+b3
c) a3b3
d) ab
e) a2– b2
RESOLUCIÓN :
Rpta. : "A"
PREGUNTA 19 :
Si f(x–4)=x+7
Determina f(x+7)
A) x+4
B) x+11
C) x+14
D) x+18
E) x+12
RESOLUCIÓN :
Rpta. : "D"
PREGUNTA 22 :
Si la ecuación x2+x–3=0 tiene por raíces a m y n, determina el valor de m3+n3
A) 10
B) 12
C) –12
D) –10
E) –9
RESOLUCIÓN :
Usando las propiedades de suma y producto de las raíces (Cardano):
m+n=–1
mn=–3
Elevamos al cubo. (m+n)3=(–1)3
Se obtiene m3+n3+3mn(m+n)=–1
Reemplazamos :
m3+n3+3(–3)(–1)=–1 ⇒ m3+n3+9= –1
⇒ m3+n3= –10
Rpta. : "D"
PREGUNTA 24:
Carmelo tiene cierto número de estudiantes en su colegio. Si triplica este número, se retiran 24, entonces quedan más de 234 estudiantes. Si al número de estudiantes le agregan 12, este es menor que la diferencia entre 144 y la mitad del número de estudiantes. ¿Cuántos estudiantes tiene Carmelo?
A) 87
B) 90
C) 64
D) 98
E) 75
RESOLUCIÓN :
Sea el número de estudiantes =x
Del primer dato 3x–24>234
⇒ 3x >258
⇒ x >86 ...(I)
Del segundo dato
x +12<144 − x/2
⇒ x<88 (II)
De (I) y (II)
86<x<88
∴ número de estudiantes: x=87
Rpta. : "A"
PREGUNTA 25 :
Dada la siguiente inecuación:
El conjunto solución tiene la forma: determina el valor de: a+b
a) 4
b) 5/2
c) 2
d) 5/3
e) 3/2
RESOLUCIÓN :
Rpta. : "B"
PREGUNTA 26 :
El gerente de una fábrica de muebles observa que cuesta 2000 dólares producir 100 sillas en un día y 4400 dólares producir 300 sillas en un día. Si la relación entre el costo y el número de sillas fabricadas es lineal, ¿cuánto costará producir 500 sillas?
A) 6800 dólares
B) 6000 dólares
C) 6400 dólares
D) 5800 dólares
E) 6200 dólares
RESOLUCIÓN :
Rpta. : "A"
PREGUNTA 27 :
Determina el valor de a+b+c, si el término central del desarrollo del cociente notable:
es (xc) y30
A) 119
B) 128
C) 110
D) 117
E) 125
RESOLUCIÓN :
Rpta. : "E"
PREGUNTA 28:
PREGUNTA 29 :
Un comerciante de bebidas rehidratantes analiza sus registros de ventas y encuentra que si vende x bebidas en un día, su ganancia (en dólares) está dada por
¿Cuál es su ganancia máxima por día y cuántas bebidas debe vender para obtener dicha ganancia?
A) $ 500 ; 1500
B) $ 350 ; 1200
C) $ 200 ; 1000
D) $ 450 ; 1500
E) $ 500 ; 1000
RESOLUCIÓN :
Rpta. : "D"























.png)

.png)
.png)




.png)

.png)

.png)
.png)




.png)

