UNI 2025-1 SEGUNDA PRUEBA CLAVES DE INGRESO UNIVERSIDAD DESARROLLO MATEMÁTICAS PDF
CLAVES – RESPUESTAS
1)C 2)D 3)E 4)C 5)B 6)D 7)C 8)A 9)D 10)A 11)A 12)B 13)C 14)C 15)B 16)C 17)B 18)E 19)A 20)C 21)C 22)D 23)C 24)D 25)B 26)E 27)C 28)D 29)C 30)D 31)B 32)B 33)E 34)D 35)A 36)D 37)A 38)E 39)C 40)B
PREGUNTA 1 :
Sea la descomposición canónica de un número N la siguiente:
N=a3(a+1)253a7b11c
Además, 23327b tiene 32 divisores compuestos positivos.
¿Cuántos divisores impares primos entre sí con 847 tiene N?
A) 8
B) 14
C) 15
D) 21
E) 12
RESOLUCIÓN :
CLASIFICACIÓN DE LOS ℤ+
Rpta. : "D"
PREGUNTA 2 :
Sean a, b, c números naturales. Si la notación a|b indica que a es divisor de b indique el valor de verdad de la siguientes proposiciones:
A) FVF
B) VVV
C) FFF
D) VFV
E) VVF
RESOLUCIÓN :
TEORÍA DE DIVISIBILIDAD
Rpta. : "E"
PREGUNTA 3 :
Un estudiante compra 3 libros de matemáticas, 2 libros de biología, 3 libros de física y 2 libros de química. Desea ordenarlos en un estante que tiene espacio para diez libros, ¿de cuántas maneras podrá hacer esto, si los libros del mismo tópico deben estar juntos?
A) 864
B) 1728
C) 2304
D) 2592
E) 3456
RESOLUCIÓN :
ANÁLISIS COMBINATORIO
Rpta. : "E"
PREGUNTA 4 :
Dada la siguiente tabla de frecuencias cuya distribución es simétrica, de ancho de clase común y no necesariamente unimodal:
Determine la suma de la mediana y la(s) moda(s).
A) 160
B) 80
C) 120
D) 150
E) 60
RESOLUCIÓN :
ESTADÍSTICA DESCRIPTIVA
Rpta. : "C"
PREGUNTA 5 :
El 20 de enero del 2023 se abrió una cuenta en un banco con 10 000 dólares a una tasa TEA del 20% capitalizable diariamente. Se debe calcular el interés compuesto que generó dicho capital en dólares hasta la fecha de cancelación que fue el 10 de marzo (TEA: Tasa efectiva de interés anual).
Dato: 1,249/360=1,0251 considere un año de 360 días.
A) 413
B) 259
C) 310
D) 350
E) 251
RESOLUCIÓN :
REGLA DE INTERÉS
Rpta. : "E"
ÁLGEBRA
PREGUNTA 1 :
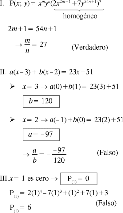
Luego de analizar la veracidad (V) o falsedad (F) de las siguientes proposiciones, señale la alternativa que tiene la secuencia correcta:
A) VFV
B) VVF
C) FFF
D) FFV
E) VFF
RESOLUCIÓN :
POLINOMIOS
Rpta. : "E"
PREGUNTA 2 :
Indique la secuencia correcta después de determinar si la proposición es verdadera (V) o falsa (F):
A) FFV
B) VVV
C) VFV
D) FVV
E) FFF
RESOLUCIÓN :
DESIGUALDADES
Rpta. : "A"
PREGUNTA 3 :
Determine el término independiente de un polinomio P(x) de coeficiente principal uno y de tercer grado, que cumple: P(–1)=P(–2)=P(–3).
Se sabe, además que la suma de los coeficientes de P(x) es 105.
A) 11
B) 89
C) 6
D) 87
E) 1
RESOLUCIÓN :
POLINOMIOS
Rpta. : "D"
PREGUNTA 4 :
Determine la suma de los valores de las soluciones enteras del siguiente sistema:
A) 2
B) – 1
C) 3
D) – 2
E) 0
RESOLUCIÓN :
SISTEMAS DE ECUACIONES NO LINEALES
Rpta. : "B"
PREGUNTA 5 :
Determine la veracidad (V) o falsedad (F) de las siguientes proposiciones:
A) FFF
B) VVV
C) FFV
D) VVF
E) FVV
RESOLUCIÓN :
FUNCIÓN LOGARITMO Y EXPONENCIAL
Rpta. : "C"
GEOMETRÍA
PREGUNTA 1 :
En la figura se tiene una circunferencia, tal que AB=3u, BC=EF, AD=2u, DE=10u. Si G es punto de tangencia, entonces la longitud (en u) del segmento FG es
A) 4√3
B) 9√3/2
C) 7√2
D) 5√3
E) 11√3
RESOLUCIÓN :
RELACIONES MÉTRICAS EN LA CIRCUNFERENCIA
Rpta. : "D"
PREGUNTA 2 :
En un triángulo ABC isósceles (AB=BC), el lado BC se prolonga hasta el punto D y al trazar desde D un segmento adecuado, interseca a los lados AC y AB en los puntos F y E, respectivamente. De este modo, AE=50 cm, EF=80 cm y CD=60 cm. Calcule la longitud (en cm) del segmento DF.
A) 96
B) 98
C) 100
D) 92
E) 94
RESOLUCIÓN :
TRIÁNGULOS SEMEJANTES
Rpta. : "A"
PREGUNTA 3 :
En un tronco de cilindro circular recto se inscribe una pirámide regular de base triangular cuyo volumen es 10√3 cm3. Calcule el volumen (en cm3) del sólido determinado por el tronco de cilindro.
A) 80𝛑/3
B) 200𝛑/3
C) 40𝛑
D) 100𝛑/3
E) 50𝛑/3
RESOLUCIÓN :
PIRÁMIDE Y CILINDRO
Rpta. : "C"
PREGUNTA 4 :
Un triángulo ABC está inscrito en una circunferencia de radio de longitud R, tal que AB=10u, BC=6u y AC=8u. Determine (en u) el valor de R.
A) 5
B) 3
C) 4
D) 6
E) 2
RESOLUCIÓN :
FIGURAS INSCRITAS Y CIRCUNSCRITAS
Rpta. : "A"
TRIGONOMETRÍA
PREGUNTA 1 :
Si se cumple que:
9sen(x) + 40cos(x)=– 41, calcule el valor de: sec(x) + tan(x).
A) – 4/5
B) – 6/5
C) 4/5
D) 6/5
E) – 5/4
RESOLUCIÓN :
IDENTIDADES TRIGONOMÉTRICAS FUNDAMENTALES
Rpta. : "A"
PREGUNTA 2 :
Sean b y c dos números reales positivos tal que c≠1. Si la distancia de A(2;2) a B(6;b) es 5 u y la distancia de B a C(c;4) es √26 u, calcule la distancia de A a C (en u).
A) √29
B) √40
C) √11
D) √5
E) √85
RESOLUCIÓN :
INTRODUCCIÓN A LA GEOMETRÍA ANALÍTICA
Rpta. : "E"
PREGUNTA 3 :
En la figura mostrada, la rueda C1 gira sobre la circunferencia C2 desde A hasta B dando 4/3 vueltas.
Si se cumple que el ángulo AOB mide 120 grados sexagesimales y el segmento MB=28u.
Calcule el valor del diámetro AM de C1 (en u).
A) 6
B) 4
C) 8
D) 9
E) 10
RESOLUCIÓN :
NÚMERO DE VUELTAS
Rpta. : "C"
PREGUNTA 4 :
Resolver la inecuación:
RESOLUCIÓN :
INECUACIONES TRIGONOMÉTRICAS
Rpta. : "B"





.png)
.png)








































