CALCULO DE INTEGRALES EJERCICIOS RESUELTOS PDF
En los siguientes enlaces , dispondras de textos de cálculo integral en pdf
Concepto de primitiva. Propiedades
Así como hay una regla de derivación para cada una de las operaciones suma, resta, producto por escalares, multiplicación, división y composición (regla de la cadena), desgraciadamente, para la integración sólo hay reglas para las tres primeras operaciones.
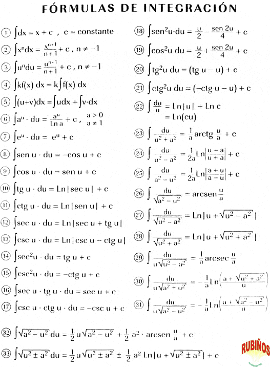
Tabla de primitivas. Integrales inmediatas
Integrales definidas
Cálculo de áreas mediante integrales
Área comprendida entre dos curvas
Definición de Integral. Primitiva de una función.
Propiedades de las integrales.
Integrales inmediatas
Métodos de integración
Obtención de integrales inmediatas
Cambio de variable
Por partes
Funciones racionales
Funciones trigonométricas
Partición
Suma Superior y Suma Inferior
Propiedades La Integral Definida
Definición Integral Definida
Propiedades elementales de la Integral Definida
Teorema del valor medio
Integrales Indefinidas
Continuidad de las Integrales Indefinidas
Las Funciones: Logaritmo y Exponencial
Así como hay una regla de derivación para cada una de las operaciones suma, resta, producto por escalares, multiplicación, división y composición (regla de la cadena), desgraciadamente, para la integración sólo hay reglas para las tres primeras operaciones.
Tabla de primitivas. Integrales inmediatas
Integrales definidas
Cálculo de áreas mediante integrales
Área comprendida entre dos curvas
Definición de Integral. Primitiva de una función.
Propiedades de las integrales.
Integrales inmediatas
Métodos de integración
Obtención de integrales inmediatas
Cambio de variable
Por partes
Funciones racionales
Funciones trigonométricas
Partición
Suma Superior y Suma Inferior
Propiedades La Integral Definida
Definición Integral Definida
Propiedades elementales de la Integral Definida
Teorema del valor medio
Integrales Indefinidas
Continuidad de las Integrales Indefinidas
Las Funciones: Logaritmo y Exponencial
- https://app.box.com/shared/5jpf0zfx7t5g2zjw5g9p
- https://app.box.com/shared/tjnjq7nhze3eejmlv4wj
- https://app.box.com/shared/0838tlm3pi2yxtsiemht
- https://app.box.com/shared/v3ubmy5avnxtdr4z27f3
- 700 INTEGRALES RESUELTAS
- https://app.box.com/shared/xu2tfu7j14cm432lsagn
- https://app.box.com/shared/viqzrot3gj2xndmebj43
- https://app.box.com/shared/id0577oy5pnmpcrge07y
- https://app.box.com/shared/hyycd3a0fm82f26gkd3j
i) integración por partes cuando la función que se desea integrar es igual al producto de dos funciones , una de las cuales es la derivada de una función conocida , se puede aplicar el método de integración por partes. * si u y v son funciones tales que u=f(x) y v= g(x), s antiderivada o primitiva - concepto y ejemplos antiderivada o primitiva - ejercicio resuelto antiderivada o primitiva - problema resuelto antiderivada general - concepto y ejemplos antiderivada general - ejercicio resuelto antiderivada general - problema resuelto integral indefinida - concepto y ejemplos integral de una potencia - demostracion y ejemplos integral de una potencia - ejercicio resuelto integral de una potencia - problema resuelto integrales - primeras formulas basicas de integracion - concepto y ejemplos integrales - primeras formulas de integracion - ejercicios resueltos integrales - primeras formulas de integracion - problemas resueltos integrales - segundas formulas basicas de integracion concepto y ejemplos integrales - segundas formulas basicas de integracion ejercicio resueltos integrales - segundas formulas basicas de integracion - problemas resueltos integrales - terceras formulas basicas de integracion - concepto y ejemplo integrales - terceras formulas basicas de integracion - problemas resueltos integrales - terceras formulas basicas de integracion - ejercicios resueltos integrales - cuartas formulas basicas de integracion - concepto y ejemplos integrales - cuartas formulas basicas de integracion - ejercicios resueltos integrales - cuartas formulas basicas de integracion - problemas resueltos integracion por sustitucion - concepto y demostracion integracion por sustitucion - ejercicios resueltos integracion por sustitucion - problemas resueltos integrales trigonometricas integrales de funciones que contienen un trinomio cuadrado - concepto integrales de funciones que contienen un trinomio cuadrado ejercicios desarrollados integrales de funciones que contienen un trinomio cuadrado - problemas resueltos ecuaciones diferenciales muy sencillas - concepto y ejemplo ecuaciones diferenciales muy sencillas - ejercicios resueltos ecuaciones diferenciales muy sencillas - problemas resueltos integracion de las funciones trigonometricas seno a la n - concepto integracion de las funciones trigonometricas seno a la n - ejercicio resuelto integracion de las funciones trigonometricas seno a la n - problema resuelto integracion de las funciones trigonometricas coseno a la n - concepto integracion de las funciones trigonometricas coseno a la n - ejercicio resuelto integracion de las funciones trigonometricas seno a la n y coseno a la m - concepto integracion de las funciones trigonometricas coseno a la n - problema resuelto integracion de las funciones trigonometricas seno a la n por coseno a la m - ejercicio resuel integracion de las funciones trigonometricas seno a la n por coseno a la m - problema resuelt integracion de las funciones trigonometricas - tangente a la n - concepto integracion de las funciones trigonometricas tangente a la n - ejercicio resuelto integracion de las funciones trigonometricas tangente a la n -



























