UNI 2024-2 MATEMÁTICA SEGUNDA PRUEBA RESUELTA – RESPUESTAS INGRESO UNIVERSIDAD PDF
CLAVES
1)B 2)D 3)D 4)D 5)D 6)C 7)C 8)C 9)B 10)B 11)B 12)E 13)C 14)C 15)A 16)C 17)B 18)E 19)A 20)B 21)D 22)A 23)C 24)C 25)C 26)B 27)D 28)C 29)A 30)B 31)B 32)E 33)C 34)B 35)E 36)D 37)C 38)B 39)C 40)E
PREGUNTA 1 :
Calcule la cantidad de valores enteros N tal que:
182≤ N <192
73≤ N<83
A) 23
B) 18
C) 25
D) 36
E) 16
RESOLUCIÓN :
OPERACIONES FUNDAMENTALES
Rpta. : "B"
PREGUNTA 2 :
Dada la expresión
, determine el menor valor que toma M=a+b tal que A sea un cuadrado perfecto, donde a y b∈N (a≠b).
A) 3
B) 4
C) 5
D) 6
E) 7
RESOLUCIÓN :
Rpta. : "A"
PREGUNTA 3 :
Dos números racionales tienen denominador 11 y por numerador dos números enteros positivos consecutivos. Además, comprendido entre estos números racionales se encuentra el número racional cuyo valor decimal es 0,25454545... . Calcule la suma de los numeradores de dichos números racionales.
A) 6
B) 4
C) 3
D) 7
E) 5
RESOLUCIÓN :
CONJUNTO DE LOS RACIONALES
Rpta. : "E"
PREGUNTA 4 :
Un capital se deposita al 1% mensual capitalizable mensualmente; la diferencia de los montos al finalizar el tercer y segundo mes es de S/.10 201. Calcule el monto en soles al finalizar el segundo mes; y señale como respuesta la suma de las cifras de este monto.
A) 5
B) 2
C) 1
D) 4
E) 3
RESOLUCIÓN :
REGLA DE INTERÉS
Rpta. : "D"
PREGUNTA 5 :
Debido a un reclamo efectuado por un grupo de alumnos del curso de química se ha decidido aumentarles 5 puntos en el examen final. Respecto a las nuevas notas (puntajes) indique el valor de verdad de las siguientes proposiciones:
I) La varianza disminuye.
II) La media aritmética aumenta.
III) El cociente VAR/MA aumenta (MA: Medía Aritmética y VAR: Varianza).
A) FVF
B) FVV
C) VFV
D) VVF
E) VVV
RESOLUCIÓN :
ESTADÍSTICA DESCRIPTIVA
Rpta. : "A"
ÁLGEBRA
PREGUNTA 1 :
Sea la función f:ℝ→ℝ, cuya regla de correspondencia es
f(x) =x2– ax.
Determine el valor de a>0 de tal manera que Ran(f)=[–4;+∞〉.
A) 1
B) 2
C) 3
D) 4
E) 5
RESOLUCIÓN :
FUNCIÓN CUADRÁTICA
Rpta. : "D"
PREGUNTA 2 :
Dado el siguiente sistema de ecuaciones lineales:
Determine el valor de x+y+z.
A) 1
B) –2
C) 2
D) –1
E) 0
RESOLUCIÓN :
SISTEMA DE ECUACIONES
Rpta. : "A"
PREGUNTA 3 :
Resuelva, en el conjunto de los números reales, la siguiente inecuación:
A) x ∈ [–10; 10]
B) x ∈ [– 9; 9]
C) |x| ≥ 9
D) |x|<
E) |x|<9
RESOLUCIÓN :
INECUACIÓN LOGARÍTMICA
Rpta. : "C"
PREGUNTA 4 :
Determine la veracidad (V) o falsedad (F) de las siguientes proposiciones:
A) FFF
B) VVV
C) FVV
D) FFV
E) VFF
RESOLUCIÓN :
SERIES
Rpta. : "A"
GEOMETRÍA
PREGUNTA 1 :
En cada lado de un triángulo equilátero de 4m de lado se construye un cuadrado. Al unir los 6 vértices exteriores de los cuadrados, se determina un hexágono como se muestra en la figura. Calcule (en m2) el área de la región hexagonal.
A) 48+16√3
B) 48
C) 28+10√3
D) 48+√3
E) 24+10√3
RESOLUCIÓN :
ÁREA DE REGIONES
Rpta. : "A"
PREGUNTA 3 :
En la figura mostrada O es el centro de la semicircunferencia de diámetro AB y B es el centro del arco de circunferencia OD. Determine la razón de las longitudes de los arcos ACB y OD.
A) 5/2
B) 3/2
C) 2
D) 4/3
E) 7/3
RESOLUCIÓN :
LONGITUD DE CIRCUNFERENCIA
Rpta. : "C"
PREGUNTA 4 :
En un triángulo ABC, el segmento que une el incentro y baricentro es paralelo al lado AC. Si el lado AC mide 16 u, entonces el perímetro (en u) del triángulo ABC es
A) 48
B) 36
C) 32
D) 64
E) 24
RESOLUCIÓN :
PROPORCIONALIDAD
Rpta. : "A"
PREGUNTA 5 :
Durante la ejecución de la obra: Línea 1 del Metro de Lima, se están construyendo pilares de base circular y con la forma de un cilindro recto. Sabiendo que la altura promedio del pilar más alto es 24m y el segmento de mayor longitud que une dos puntos de sus bases, determina con el plano de la base un ángulo de 74°, calcule aproximadamente (en m3) el volumen del vaciado de concreto del pilar.
A) 293𝛑
B) 295𝛑
C) 296𝛑
D) 294𝛑
E) 292𝛑
RESOLUCIÓN :
CILINDRO
Rpta. : "D"
TRIGONOMETRÍA
PREGUNTA 1 :
Sabiendo que:
A) √3/4
B) 1/2
C) √3/2
D) 1/4
E) √3/3
RESOLUCIÓN :
IDENTIDADES FUNDAMENTALES
Rpta. : "D"
PREGUNTA 3 :
Se tiene las siguientes proposiciones:
Después de determinar si cada proposición es verdadera (V) o falsa (F), señale la alternativa que presenta la secuencia correcta.
A) VVV
B) VFV
C) VVF
D) VFF
E) FVF
RESOLUCIÓN :
CIRCUNFERENCIA TRIGONOMÉTRICA
Rpta. : "C"
PREGUNTA 4 :
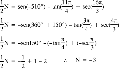
Calcule el valor de N que cumpla con la expresión:
A) – 3/2
B) 3
C) – 3
D) – 2
E) – 4
RESOLUCIÓN :
REDUCCIÓN AL PRIMER CUADRANTE
Rpta. : "C"
PREGUNTA 5 :
Calcule el número de vueltas que da la rueda de radio r si va rodando desde la posición A hasta la posición B sobre dos rampas que son cuadrantes de circunferencias de radio 2r.
A) 1
B) 4
C) 1,5
D) 2
E) 0,5
RESOLUCIÓN :
NÚMERO DE VUELTAS QUE DA UNA RUEDA
Rpta. : "A"
PREGUNTA 1 :
En una reunión donde hay 100 personas se sabe que 40 tienen hijos, 60 son hombres, 10 mujeres están casadas, 25 personas casadas tienen hijos; hay 25 madres solteras.
¿Cuántos hombres solteros tienen hijos?
A) 10
B) 60
C) 40
D) 30
E) 25
Rpta. : "A"
PREGUNTA 2 :
¿Cuál será el interés acumulado en 180 días por un depósito de ahorro de $2000 a una tasa de interés del 24%?
A) S/.204
B) S/.240
C) S/.402
D) S/.420
E) S/.244
Rpta. : "B"
PREGUNTA 3 :
La mano de obra y las gratificaciones suman el 40% del valor de una obra. Si las gratificaciones representan el 60% del importe de la mano de obra, ¿qué tanto por ciento del valor dé la obra Importa solo la mano de obra?
A) 20%
B) 25%
C) 22%
D) 28%
E) 30%
Rpta. : "B"
PREGUNTA 4 :
A una fiesta asisten 240 personas, en donde la relación de varones y mujeres es de 5 a 7. Si en cierto momento de la fiesta se observa que las mujeres que no bailan y los varones que bailan están en la relación de 5 a 9; calcule cuántos varones no bailan.
A) 35
B) 40
C) 15
D) 20
E) 10
Rpta. : "E"
PREGUNTA 5 :
Juan le da a Pedro 100 m de ventaja para una competencia de 1000 m, y Pedro le da a Carlos una ventaja de 200 m para una competencia de 1800 m.
¿Cuántos metros de ventaja debe de dar Juan a Carlos para una carrera de 2000 m?
A) 400
B) 500
C) 600
D) 300
E) 700
Rpta. : "A"
PREGUNTA 6 :
Se funde 2 lingotes de oro del mismo peso, uno de oro puro y el otro de 14,4 quilates. Si se toma la mitad de la aleación y se le agrega 200 g de cobre, se obtiene una nueva aleación de 11,52 quilates. ¿Qué cantidad de oro puro interviene en esta última aleación?
A) 220 g
B) 230 g
C) 270 g
D) 240 g
E) 250 g
Rpta. : "D"
PREGUNTA 7 :
¿De cuántas maneras se pueden ordenar linealmente 5 fichas blancas, 3 verdes, 3 azules y una roja?
A) 310
B) 320
C) 330
D) 340
E) 350
Rpta. : "C"
PREGUNTA 8 :
Se tiene 2 lingotes de oro del mismo peso y de leyes distintas. Si se funde el primer lingote con 1/4 del segundo, se obtiene una ley de 0,936 y si se funde el primero con 3/4 del segundo, se obtiene una ley de 0,902. Halle la ley del segundo lingote.
A) 0,817
B) 0,820
C) 0,375
D) 0,810
E) 0,793
Rpta. : "A"
PREGUNTA 9 :
Un empresario vende su auto y el dinero que recibe lo deposita en una financiera por un año y nueve meses al 1,25% trimestral; los intereses ganados los reparte entre sus 3 hijas; a la primera le dio los 3/7, a la segunda los 4/11 y a la tercera $64.
¿En cuánto tiempo vendió el auto?.
A) $3265
B) $3815
C) $3015
D) $3020
E) $3520
PREGUNTA 10 :
A 20 gramos de oro de 18 quilates se eleva su quilataje hasta 21 quilates agregando oro puro. ¿Cuántos gramos de cobre será necesario agregar a esta última aleación para obtener oro de 20 quilates?
A) 1
B) 2
C) 1,5
D) 2
E) 2,5
Rpta. : "B"



















































